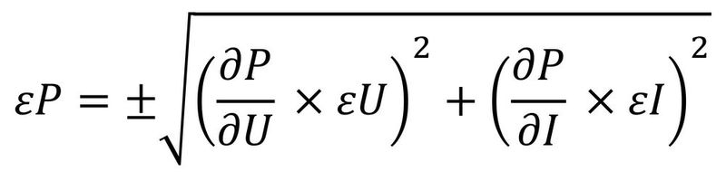
Kalorimeter vs. Power Analyzer: Leistungsverluste präzise bestimmen

Zurück zum Artikel