Leistungselektronik Grundlagen Dämpfung

Von Dipl.-Ing. (FH) Michael Richter 2 min Lesedauer

Dämpfung beschreibt den Verlust an Energie, den ein Signal beim Durchlaufen eines Mediums oder einer elektrischen Schaltung erfährt. Insbesondere bei der Übertragung von Signalen, etwa in Kabeln oder Antennen, spielt die Dämpfung eine entscheidende Rolle, da sie maßgeblich die Signalqualität und Reichweite von Signalen beeinflusst.

Gerade Antennenkabel sollten eine möglichst geringe Dämpung aufweisen, um Signalverluste zu minimieren.(Bild:  frei lizenziert /  Pixabay)
Gerade Antennenkabel sollten eine möglichst geringe Dämpung aufweisen, um Signalverluste zu minimieren.
(Bild: frei lizenziert / Pixabay)

Dämpfung bezeichnet den Leistungsverlust oder Spannungsverlust eines elektrischen Signals bei dessen Übertragung. Die Dämpfung entsteht durch meist parasitäre Widerstände, Induktivitäten, Kapazitäten und den Materialeigenschaften der Übertragungsstrecke. Durch eine Optimierung der Geometrie oder durch verbesserte Materialien lässt sich die Dämpfung beeinflussen. Folgende Faktoren beeinflussen die Dämpfung:

  • Leitungsverluste: Widerstände in Kabeln führen zum Energieverlust.
  • Reflexionen: Unangepasste Impedanzen können Reflexionen verursachen.
  • Streuung: Verluste durch elektromagnetische Streuung, besonders bei hohen Frequenzen.

Berechnung der Dämpfung in Dezibel (dB)

Die Dämpfung wird in der Regel in Dezibel (dB) angegeben. In älterer Literatur wird auch Neper als vergleichendes Maß genutzt. Bei beiden handelt es sich um so genannte Hilfsmaße, welche zur Verdeutlichung von Zusammenhängen genutzt werden. Die logarithmische Darstellung ermöglicht es, Einheiten mit unterschiedlich hohen Maßen miteinander zu vergleichen und einfach darzustellen. Die Berechnung der Dämpfung erfolgt abhängig davon, ob die Leistung (P) oder die Spannung (U) betrachtet wird. Das liegt daran, dass die Leistung vom Quadrat der Spannung abhängt. Während die Dämpfung der Leistung direkt proportional berechnet wird, muss bei der Spannung der Faktor 20 verwendet werden, um die quadratische Abhängigkeit zu berücksichtigen:

Dämpfung bezogen auf Leistung:

0122391809v1 (Bild: VCG Richter)

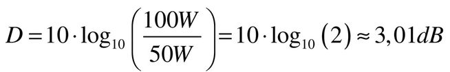
Hier ist PEingang die Eingangsleistung und PAusgang die Ausgangsleistung.

Hat man zum Beispiel eine Eingangsleistung von 100 W und eine Ausgangsleistung von 50 W, so lässt sich die Dämpfung folgendermaßen berechnen:

0122391812v1 (Bild: VCG Richter)

Dämpfung bezogen auf Spannung:

0122391811v1 (Bild: VCG Richter)

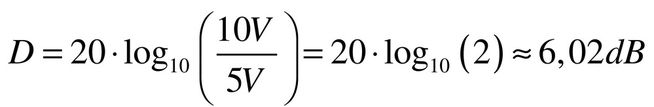
Hier ist UEingang die Eingangsspannung und UAusgang die Ausgangsspannung.

Hat man zum Beispiel eine Eingangsspannung von 10 V und eine Ausgangsspannung von 5 V, so lässt sich die Dämpfung folgendermaßen berechnen:

0122391810v1 (Bild: VCG Richter)

Dämpfung in der Praxis

Dämpfung ist sehr wichtig bei der Auswahl von Kabeln. Gerade Koaxialkabel oder Lichtwellenleiter, welche zur Signalübertragung genutzt werden, besitzen eine Dämpfung, welche auch in Dämpfung pro Meter in Dezibel (dB) angegeben wird. Niedrigere Werte sind hier von Vorteil um die Verluste zu verringern. In der Antennentechnik beeinflusst die Dämpfung maßgeblich die Reichweite und Effizienz von Funksignalen. In der Audiotechnik lässt sie sich sogar hörbar machen.

Die Dämpfung sollte also gezielt minimiert werden. Dies kann durch den Einsatz von hochwertigen Materialien, wie etwa Kabel mit geringem Widerstand aus reinem Kupfer erfolgen. Auch die Anpassung der Impedanz zwischen Eingangs- und Ausgangsgeräten ist wichtig, um Reflexionen zu vermeiden. Bei längeren Leitungswegen können außerdem Signalverstärker eingesetzt werden. Außerdem sollten Leitungswege möglichst kurz gehalten werden, da kürzere Strecken generell geringere Verluste verursachen.

Elektrische Dämpfung ist zwar ein unvermeidlicher Faktor in der Signalübertragung, jedoch lässt sie sich durch gezielte Maßnahmen beherrschen. Die Berechnung der Dämpfung in Dezibel ermöglicht eine einfache und präzise Bewertung der Verluste. Durch die Analyse und Minimierung der Dämpfung lässt sich eine optimale Signalqualität gewährleisten.  (mr)

(ID:49966409)

Jetzt Newsletter abonnieren

Verpassen Sie nicht unsere besten Inhalte

Mit Klick auf „Newsletter abonnieren“ erkläre ich mich mit der Verarbeitung und Nutzung meiner Daten gemäß Einwilligungserklärung (bitte aufklappen für Details) einverstanden und akzeptiere die Nutzungsbedingungen. Weitere Informationen finde ich in unserer Datenschutzerklärung. Die Einwilligungserklärung bezieht sich u. a. auf die Zusendung von redaktionellen Newslettern per E-Mail und auf den Datenabgleich zu Marketingzwecken mit ausgewählten Werbepartnern (z. B. LinkedIn, Google, Meta).

Aufklappen für Details zu Ihrer Einwilligung