Leistungselektronik Grundlagen Zero-Voltage-Switching

Von Dipl.-Ing. (FH) Michael Richter 2 min Lesedauer

Anbieter zum Thema

Zero-Voltage-Switching (ZVS) ist eine Schalttechnik in der Leistungselektronik, bei der ein Schalter (z. B. ein MOSFET) genau dann eingeschaltet wird, wenn die Spannung über ihm null ist. Dadurch werden Schaltverluste minimiert.

(Bild:  Dall-E / KI-generiert)
(Bild: Dall-E / KI-generiert)

Zero-Voltage-Switching (ZVS) ist eine Schalttechnik, die zunehmend an Bedeutung gewinnt. Diese Methode wird häufig in Schaltnetzteilen, Wechselrichtern und anderen leistungselektronischen Geräten eingesetzt, um Schaltverluste zu minimieren und die Lebensdauer der Bauteile zu verlängern.

Warum Zero-Voltage-Switching?

In herkömmlichen Schaltungen wird ein Halbleiter bei einer beliebigen Spannung eingeschaltet. Dies führt zu hohen Verlusten. Wenn Spannung und Strom nicht synchron sind, entsteht ein Schaltverlust. Dieser Verlust äußert sich in Form von Wärme, welche durch Maßnahmen zur Kühlung abgeführt werden muss. ZVS optimiert den Schaltvorgang und reduziert die Verluste.

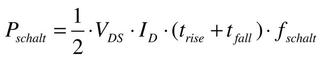
Berechnung der Schaltverluste

Die Schaltverluste Pschalt​ lassen sich für konventionelles Schalten durch folgende Formel darstellen:

0121926652v1 (Bild: VCG)

  • VDS​: Spannung über dem Schalter (Drain-Source-Spannung im Fall eines MOSFETs).
  • ID​: Strom durch den Schalter (Drain-Strom).
  • tschalt: Schaltzeit (Zeitspanne, in der Spannung und Strom überlappen).
  • fschalt​: Schaltfrequenz (Häufigkeit der Schaltvorgänge pro Sekunde).

Bei ZVS wird der Schalter bei VDS​ = 0 eingeschaltet, wodurch der Energieverlust pro Schaltvorgang nahezu eliminiert wird. Es bleiben nur die Verluste durch parasitäre Effekte wie:

  • Leitungsverluste (durch den RDS(on)​)
  • Verluste durch die Kapazitätsladung oder -entladung des Schalters.
  • Verluste durch unvollkommene ZVS-Bedingungen (wenn VDS​ nicht vollständig auf 0 reduziert wird).

Das Prinzip von Zero-Voltage-Switching

Bei ZVS wird der Halbleiter so gesteuert, dass er genau zu dem Zeitpunkt aktiviert wird, an dem die Spannung über ihm null ist. Ideal betrachtet bedeutet das, dass keine Energie verloren geht. Dies passiert, da der Schalter beim Einschalten keine Last tragen muss. Dies wird durch die Nutzung von Resonanzkreisen oder zusätzlicher Schaltungstopologie ermöglicht. Um ZVS richtig umzusetzen, muss der Schaltzeitpunkt präzise gesteuert werden.

Der ideale Schaltzeitpunkt beim Zero-Voltage-Switching ist beim Null-Durchgang (grün). Der schlechteste Zeitpunkt ist am höchsten Punkt (rot).(Bild:  VCG – Richter)
Der ideale Schaltzeitpunkt beim Zero-Voltage-Switching ist beim Null-Durchgang (grün). Der schlechteste Zeitpunkt ist am höchsten Punkt (rot).
(Bild: VCG – Richter)

Implementierung

Die präzise Steuerung des Schaltzeitpunkts erfordert komplexe Regelalgorithmen und zusätzliche Komponenten wie Resonanzkreise oder spezielle ICs zur Regelung. Dies kann die Entwicklungskosten und den Aufwand erhöhen. ZVS ist außerdem nicht in allen Anwendungen geeignet, da es in manchen Fällen zu erhöhtem Schaltungsaufwand oder höheren Verlusten bei niedrigeren Lasten führen kann.

Fazit

Zero-Voltage-Switching kann die Effizienz leistungselektronischer Systeme verbessern. Die Implementierung ist zwar komplex, jedoch überwiegen die Vorteile. Mit der Weiterentwicklung von Halbleitermaterialien und Regelungstechnologien wird ZVS in Zukunft eine noch größere Rolle spielen.  (mr)

(ID:49966331)

Jetzt Newsletter abonnieren

Verpassen Sie nicht unsere besten Inhalte

Mit Klick auf „Newsletter abonnieren“ erkläre ich mich mit der Verarbeitung und Nutzung meiner Daten gemäß Einwilligungserklärung (bitte aufklappen für Details) einverstanden und akzeptiere die Nutzungsbedingungen. Weitere Informationen finde ich in unserer Datenschutzerklärung. Die Einwilligungserklärung bezieht sich u. a. auf die Zusendung von redaktionellen Newslettern per E-Mail und auf den Datenabgleich zu Marketingzwecken mit ausgewählten Werbepartnern (z. B. LinkedIn, Google, Meta).

Aufklappen für Details zu Ihrer Einwilligung