Energy Harvesting: Auf der Suche nach Möglichkeiten der Energieumwandlung
In diesem Beitrag gibt Lorandt Fölkel Denkanstöße zu Energy Harvesting im Mikro- bis Nanowattbereich. Der Autor tritt bei Würth Elektronik eiSos als Technologiebotschafter „#askLorandt“ auf.
Anbieter zum Thema

„Energie kann nicht vernichtet werden, sie wird nur in eine andere Form umgewandelt“ – diese grundlegende Aussage des Energieerhaltungssatzes sollte uns Entwicklern Ansporn genug sein, nach neuen Möglichkeiten der Umwandlung und Anwendungen des Energy Harvesting zu suchen. Doch meist entwickeln wir Technik nach dem Prinzip: Verlorene Energie muss extern ersetzt werden.
Energierückgewinnung hat heutzutage schon viele mögliche Anwendungen zum Beispiel die Wärmerückgewinnung in der Klimatechnik, die Bremsenergierückgewinnung bei der Rekuperation oder die Erzeugung von elektrischer Energie in einem Stoßdämpfer mittels eines linearen Generators. Auch wenn es sich hier um größere und damit wirtschaftlich lukrativere Leistungsbereiche handelt, geht die Entwicklung schon in die richtige Richtung.
Doch man kann nicht nur Energie innerhalb eines statischen Systems wiedergewinnen, sie kann auch aus der Umgebung „geerntet“ werden. Mit Photovoltaik wird das bereits flächendeckend umgesetzt. Dennoch bleiben viele und bisher kaum genutzte Chancen im Low-Power-Bereich absolut ungenutzt. Wärmeunterschiede, Vibrationen, Luftströmungen, Radiowellen – alles Energielieferanten und damit viele Möglichkeiten Energie zu gewinnen, um beispielsweise schwer zugängliche Sensoren autark zu machen.
Wie viel Energie brauchen wir hier denn wirklich?
Elektronik und Technik etabliert sich immer mehr in allen Lebensbereichen und wenn es nach den Internet-of-Things-Enthusiasten geht, stehen wir hier erst am Anfang. Alles vernetzt, alles intelligent. Unabhängig davon, ob wir mit IoT den Komfort für Konsumenten steigern wollen, nachhaltige Smart-Grid-Lösungen anstreben oder die Smart Factory aufbauen: Viele Sensoren und drahtlose Kommunikationsteilnehmer müssen entwickelt werden. „Drahtlos“ – das ist das Stichwort. Was man ohne Datenkabel betreibt, möchte man auch nicht am Stromnetz hängen haben. Also: „Bauen wir eben eine Batterie ein!“
Muss das wirklich sein?
Wer sich anschaut, was so manche Komponente tatsächlich an Strom benötigen, sollte auf der Suche nach einer effizienten Lösung eigentlich selbst auf die Frage kommen: Muss ich der von mir entwickelten Applikation wirklich eine Batterie hinzufügen und mir damit eine begrenzte maximale Betriebsdauer und ein Wartungsproblem einhandeln? Von umwelttechnischen Aspekten mal ganz abgesehen. Oder kann die Energie woanders herkommen?
Hier müssen wir alle aktiv für Energy Harvesting werben. Im Gegensatz zur großtechnischen Energiegewinnung ist die Frage nach dem Wirkungsgrad beim Energy Harvesting auf Platinenebene zu vernachlässigen. Warum? Weil wir es beim Betrieb kleiner und kleinster elektronischer Schaltungen zunehmend mit Bauteilen zu tun haben, deren Energiebedarf im Mikro- bis Nanowattbereich liegt. Dass zum Beispiel ein thermoelektrischer Generator nur ein Zehntel der Ausbeute einer gleich großen Solarzelle hat, stört nicht. Seine 10 mW/cm2 reichen für den Betrieb eines Bluetooth-Low-Energy-Moduls (BLE) vollkommen aus.
Ein aktiver RFID-Tag oder ein UKW-Empfänger brauchen zum Beispiel nur 1 mW. Der immer geringer werdende Energiebedarf von elektronischen Geräten ist ein Trend und viele Anwendungen sind bereits alltäglich. Es gibt Hörgeräte, die nur 100 µW brauchen, elektronische Uhren, die 1 µW aus einer Minisolarzelle beziehen. Quarzoszillatoren kommen gar mit 10 nW aus. Der Energiebedarf eines Mikrocontrollers im Ruhemodus (deep sleep mode) liegt auch nicht höher.
Fazit: Für vieles braucht es keine besonders ergiebige Energiequelle, sondern nur einen Entwickler, der sich traut andere Wege zu gehen. Lasst uns Elektronik bauen, die scheinbar nur von Luft und Liebe lebt!

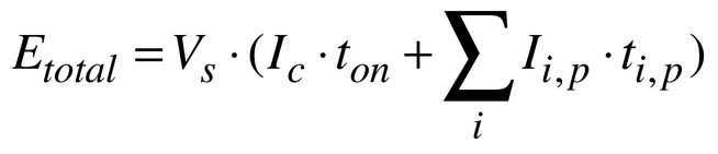
Die erste Aufgabe ist dabei, den kompletten Energiebedarf des geplanten Systems zu ermitteln. Hierbei muss auf Stromspitzen geachtet werden. Diese müssen gepuffert sein, damit sie den tatsächlichen Energiebedarf nicht verfälschen.
Bild 1 zeigt das Beispiel eines Sensors, wobei sich die benötigte Leistung mit den darunter stehenden Formeln berechnen lässt, wobei gilt: DC = Duty Cycle, tp und ti = Impulsdauer.
Welche nichtelektrische Energieform gibt es in der Umgebung?
Hat man festgestellt, dass man sich mit seiner Baugruppe im Low-Power-Bereich bewegt, kann man auf die Suche nach „freien“ Energiequellen gehen. Wärmeunterschiede, Vibrationen, Luftströmungen, Radiowellen – es gibt viele Möglichkeiten Energie zu gewinnen, um beispielsweise schwer zugängliche Sensoren autark zu machen.
In vielen Fällen ist die Lösung sehr naheliegend: Ein Sensor zur Überwachung eines Motors kann sehr einfach mit dessen Vibrationen oder Abwärme betrieben werden. In einem Bereich, in dem sowieso verschiedene Funknetzwerke betrieben werden, kann man hochfrequente Radiowellen „ernten“. Bewegung kann gleich auf drei verschiedene Arten genutzt werden: mit Piezomodulen, über Induktion oder mit elektromagnetischer Rotation („Dynamo“).
Wir haben oben darauf hingewiesen, welch geringen Energiebedarf manche Bauteile haben. Wenn man das im Hinterkopf behält, sieht man auch bei geringer Ausbeute die Möglichkeiten. Bei Radiowellen liegt die Ausbeute bei 0,1 µW/cm2 und es kann eine Spannung von 0,01 mV erzeugt werden. Neben der klassischen Anwendung der passiven RFID-Tags gibt es beispielsweise Kohlenmonoxidsensoren (CO) mit Low Power Bluetooth-Funkmodul (BLE), die völlig autark nur von „Elektrosmog“ leben.
Bei Vibrationen ist bereits eine Ausbeute von 1 mW/cm2 möglich und die piezoelektrischen Kristalle stellen zwischen 0,1 und 0,4 V zur Verfügung. Thermoelektrische Generatoren, die auf Basis des Seebeck-Effekts Energie aus geringsten Temperaturunterschieden gewinnen können, kommen auf einen Ernteerfolg von 10 mW/cm2 und können zwischen 0,02 und 1 V zur Verfügung stellen. Eine Photovoltaikzelle schließlich erzeugt 0,5 bis 0,7 V und die Ausbeute beträgt hier 100 mW/cm2.
Entwickler im Low-Power-Bereich, die sich auf die Suche nach „freien“ Energiequellen machen, achten nicht nur auf den Energiebedarf ihrer Schaltung in Aktion, sondern auch, wann die Energie benötigt wird. Sensoren, die nur während der Geschäftszeiten benötigt werden, wenn sowieso Licht brennt, können auch im Innenbereich mit Photovoltaikzellen betrieben werden. Es kann sinnvoll sein, mehre Energy-Harvesting-Quellen zu kombinieren und natürlich wird man sich über die Speicherung von Energie Gedanken machen müssen. Diesen Aspekt beleuchten wir als nächstes – und das Licht schalten wir dazu mit einem kabellosen Schalter ein, der mit einem Induktionselement aus dem Drücken des Schalters die Energie für ein Funksignal erzeugt.
Wie wird die geerntete Energie gespeichert und für wie lange?
Wir sind nicht nur von Energiequellen umgeben – wir sind selbst Energiequellen! Mit einem Kupferdraht und einer Zinknadel im Mund kann ich ein BLE-Modul betreiben; die Wärme meiner Hand reicht, um über einen thermoelektrischen Generator den Controller meines Energy-Harvesting-Demoboards zu betreiben.
Wer den Beitrag bis hier gelesen hat, ist sich bewusst, dass es viele elektronische Bauteile und Schaltungen gibt, die sehr wenig Energie benötigen und wo wir in unser Umgebung Energie „ernten“ können, um sie zu betreiben. Wenn man über das Thema nachdenkt, wird man feststellen, dass sehr viele Sensoren und Aktoren für Home Automation, Smart Factory oder Wearable Electronics „von Luft und Liebe“ leben können, oder dass sich zumindest die Lebensdauer von Batterien durch Energy Harvesting entscheidend verlängern lässt.
Wir haben gelernt, dass man bei der Berechnung der benötigten Leistung auf Stromspitzen achten muss. Für diese braucht es im System einen Zwischenpuffer, damit der Bedarf nicht unnötig hoch angesetzt wird. Zudem haben wir es ähnlich wie in der großtechnischen Nutzung alternativer Energien teilweise mit volatilen Energiequellen zu tun. Bevor wir nun zum Thema Energiespeicherung kommen, noch ein Hinweis: Wer autonome Low-Power-Geräte entwickelt, sollte immer auch überlegen, ob er den eh schon geringen Verbrauch nicht noch zusätzlich mithilfe von Software regeln und minimieren möchte. Dazu gehört die Nutzung von Ruhemodi (Deep Sleep Mode) oder eine Aufweckfunktion per Funksignal, wenn das Gerät tatsächlich benötigt wird.
Die ursprüngliche Intention war ja, von dem Automatismus (kabellos = batteriebetrieben) wegzukommen. Wenn es nun um Energiespeicherung im Low-Power-Umfeld geht, stehen ganz andere Überlegungen im Raum. Es geht vor allem um Langlebigkeit und eine möglichst hohe Zahl an Schaltungen. Superkondensatoren (Supercaps) sind hier das Mittel der Wahl.
Die so genannten Supercaps – andere Bezeichnungen sind Pseudo- oder Ultra-, manchmal auch Hybrid-Kapazitäten – haben viele Vorteile in Energy Harvesting Applikationen. Eines davon ist das schnelle Aufladen in ein paar Minuten oder sogar nur Sekunden. Außerdem überstehen Supercaps eine sehr große Zahl an Lade-Entlade-Zyklen (> 1.000.000). Sie können einen hohen Ausgangsstrom liefern – im Vergleich zu Li-Ion Batterien sogar 10x höher. Um fair zu sein, sollten wir auch die Nachteile erwähnen. Supercaps haben eine eher geringe Leistungsdichte (W/kg) im Vergleich zu Li-Ion-Akkus (ca. 30-mal weniger) und benötigen eine Zellenspannungsüberwachung -symmetrierung.
Bis hierher wurde in diesem Beitrag deutlich, dass Low-Power-Elektronik die Möglichkeit eröffnet, Energie aus der Umgebung zu gewinnen und so autarke Lösungen zu entwickeln, die völlig wartungsfrei über Jahrzehnte hinweg funktionieren. Wie schon angesprochen, kann es aber trotz Energy Harvesting notwendig sein, Energie zu speichern.
Was für eine Back-up-Lösung gibt es?
Wenn Unabhängigkeit eine besonders wichtige Anforderung ist, beispielsweise bei meteorologischen Messstationen, so sollte man auf jeden Fall versuchen, durch Softwareregelung des Verbrauchs und durch die Nutzung verschiedener Energiequellen ohne Batterie auszukommen.
Die eleganteste Back-up-Lösung für eine Batterie ist Energy Harvesting. Wenn man von Lösungen absieht, bei denen die Energie durch größere externe (z.B. Solar-)Panels gewonnen wird, so ist bei etwa 100 mW Schluss. Wir kommen dann in einen Bereich der kombinierten Energieversorgung, bei der Energy Harvesting vor allem dazu dient, die Wartungszyklen bei Batterien zu verlängern. Bis zu 15 Jahre Lebenszeit kann man so aus einer Batterie herausholen.
Das bedeutet: Auch wenn mein System nicht „von Luft und Liebe“ leben kann, so ist es doch extrem genügsam. Wenn ein Back-up nötig ist, sollte man Supercaps, die so genannten Ultrakapazitäten in Kombination mit Energy Harvesting verwenden, welche bis zu 30 bis 40 Tage die Ladung von 100% auf 50% halten können, oder Lithiumbatterien, die wiederum nicht mehr als 5% der Ladung pro Monat verlieren. Sollte übrigens ein externes Aufladen nötig sein, empfiehlt es sich, Wireless Power zu nutzen, also die Übertragung durch Induktion.
Artikelfiles und Artikellinks
(ID:46098106)


