Beta-Galliumoxid fordert SiC und GaN heraus
Mit 1,8 kV Durchbruchsspannung und der Leistungsdichte von 155 MW/cm2 erreicht der Galliumoxid-Leistungstransistor des Ferdinand-Braun-Instituts (FBH) beinahe die theoretischen Materialgrenzen.
Anbieter zum Thema

Technischer Fortschritt bei gesellschaftlichen Zukunftsthemen erfordert den verstärkten Einsatz leistungselektronischer Energiekonversion. Dies betrifft insbesondere die erneuerbaren Energien, Elektromobilität und Effizienzerhöhung in der Industrie sowie der Informations- und Kommunikationstechnik. Bei über 80% dieser Anwendungen wird Primärstrom in eine andere Form von Strom umgewandelt. Allein in Europa werden dabei durch Konversionsverluste schätzungsweise 3 TWh (Terrawattstunden) jährlich an Energie vergeudet – mit steigender Tendenz. Zukünftig müssen daher Effizienz und Leistungsdichte der eingesetzten Leistungskonverter gesteigert und die damit verbundenen Kosten minimiert werden.
Die Konversionsverluste hängen hauptsächlich von den verwendeten Leistungsschalttransistoren ab. Diese sollten einen möglichst niederohmigen flächenspezifischen Einschaltzustand bei gleichzeitig hoher Sperrspannung aufweisen. Daher wurde zuletzt verstärkt an neuen Halbleitermaterialien mit weitem Bandabstand und der damit verbundenen höheren Durchbruchfestigkeit geforscht. Mit ihnen können laterale Transistorzellen wesentlich kompakter aufgebaut werden. Das führt bei neuartigen Siliziumkarbid- oder Galliumnitrid-basierten Leistungstransistoren (GaN: 3,4 eV Bandabstand, SiC: 3,2 eV Bandabstand) zu reduzierten Schalt- und Leitverlusten. Sie ermöglichen effizientere und leichtere leistungselektronische Wandler mit kleinerem Volumen in der Anwendung.
Ein besonders weiter Bandabstand mit 4,8 eV
Das Halbleitermaterial beta-Galliumoxid (β-Ga2O3) bietet sogar einen noch höheren Bandabstand (4,8 eV) als SiC oder GaN und besitzt eine um etwa den Faktor 3 höhere dielektrische Durchbruchsfestigkeit. Zusätzlich ermöglicht die noch vergleichsweise hohe Elektronenbeweglichkeit von 100 bis 200 cm2/Vs in β-Ga2O3 eine hinreichend hohe Leitfähigkeit des geöffneten Transistors. Die hohe dielektrische Durchbruchfestigkeit erlaubt eine beträchtliche Reduktion des Gate-zu-Drain-Abstands, wodurch die gegenüber SiC und GaN geringere Kanalbeweglichkeit mehr als kompensiert wird. Folglich sind kompaktere und effizientere Halbleiterschalter realisierbar.
Dies drückt sich in der so genannten Baliga´s Figure of Merit (BFOM) aus. Sie beschreibt die prinzipielle Eignung eines Halbleitermaterials für Leistungs-Schaltanwendungen. Demnach weisen β-Ga2O3-Halbleiterschichten im Vergleich zu Silizium (Si) eine um den Faktor 3000 höhere BFOM auf (Tabelle 1). Selbst im Vergleich zu den neuen, aber teuren SiC-Bauelementen liegt die BFOM von β-Ga2O3 zehnfach höher.
Neben der Chip-Größe und den damit verbundenen Kosten sinken auch die Bauelementkapazitäten und folglich die Schaltverluste. Defektarme β-Ga2O3-Halbleiterschichten ermöglichen kompakte und besonders effizient schaltende laterale Feldeffekttransistoren für Spannungen von einigen 1000 V. Zusätzlich zu den grundlegenden, vorteilhaften Eigenschaften des Materials ist – im Gegensatz zu SiC und GaN – die Züchtung von β-Ga2O3-Kristallen aus der Schmelze möglich. Im industriellen Maßstab können somit die Wafer-Kosten mit Si wettbewerbsfähig werden. Des Weiteren ist ein homoepitaktisches Wachstum auf arteigenen Substraten gegeben. Das führt zu besonders defektarmen Halbleiterschichten, wie sie für Hochspannungsschaltransistoren über 1000 V nötig sind.
Aufgrund dieser vielversprechenden Aspekte wird seit etwa sechs Jahren weltweit intensiv an neuen leistungselektronischen Halbleiterbauelementen auf Basis von β-Ga2O3 geforscht. Bis jetzt konnten international nur flächenspezifische Einschaltwiderstände erreicht werden, die praktisch mit den Daten von Si-basierten Bauelementen übereinstimmen. Die Leistungsfähigkeit von SiC- oder GaN-basierten Bauelementen wurde, trotz der theoretisch besseren Werte, noch nicht erreicht. Dies hat sowohl material- als auch bauteilspezifische Gründe.
Durch Optimierungen beim Schichtwachstum in Verbindung mit einer verbesserten, hochauflösenden Prozesstechnologie ist es nun dem Ferdinand-Braun-Institut, Leibniz-Institut für Höchstfrequenztechnik (FBH) in Zusammenarbeit mit dem Leibniz-Institut für Kristallzüchtung (IKZ) gelungen, die Leistungseigenschaften von β-Ga2O3-Transistoren auf 10 mm x 10 mm großen Substraten (Bild 1) maßgeblich zu verbessern und die Leistungsdichte von Si-basierten Transistoren zu überbieten. Die durchgeführten Arbeiten belegen eine deutliche Verschiebung der erzielten Transistorkennwerte in Richtung des theoretischen Materiallimits von β-Ga2O3.

Das IKZ gehört weltweit zu den führenden Herstellern von Galliumoxid-Substraten. Auf diesen erzeugten sie zunächst eine hochqualitative Epitaxieschicht aus n-leitendem β-Ga2O3 mittels metallorganischer Gasphasenepitaxie (MOVPE). Bisherige Arbeiten haben gezeigt, dass das Schichtwachstum auf nicht-fehlorientierten β-Ga2O3-Substraten mittels MOVPE zur Nukleation von zweidimensionalen Inseln mit Rotationsdomänen führt. Dadurch erhöht sich die Defektdichte innerhalb der Schichten. Die Epitaxieschichten wurden daher auf semi-isolierenden β-Ga2O3-Substraten gewachsen, welche mit einer geringen kristallografischen Fehlorientierung von 6 Grad aus den gezogenen Kristallen gesägt und präpariert wurden.
Die erzeugten homoepitaktischen Schichten bieten hochqualitative morphologische und strukturelle Eigenschaften mit geringen Defektdichten, glatten Oberflächen sowie einer hohen kristallografischen Ordnung. Dies spiegelt sich auch in den elektrischen Eigenschaften wider, insbesondere in einer hohen Beweglichkeit der Ladungsträger und geringen Schichtwiderständen. Aufgrund der derzeitigen technologischen Möglichkeiten ist die Größe der β-Ga2O3-Substrate auf eine maximale Fläche von 10 mm x 10 mm begrenzt.
Am FBH wurde ein spezielles Verfahren entwickelt, das die Prozessierung von derart kleinen Wafer-Stücken mittels Projektionslithographie erlaubt. Mithilfe dieser Technologie ist es möglich, Strukturen im Submikrometerbereich mit hoher Präzision zu erzeugen. Dadurch konnte die Gate-Topologie der Leistungstransistoren im Vergleich zu bisherigen Arbeiten entscheidend verbessert werden. Das Gate ist die zentrale Schaltstelle bei Feldeffekttransistoren, die durch eine Spannung angesteuert wird und somit den Transistor ein- oder ausschaltet.
Die Spannung, ab der sich ein Transistor einschalten lässt, kann bauteilspezifisch durch ein Tiefersetzen der Gate-Elektrode in die Epitaxieschicht, dem so genannten Gate-Recess, erreicht werden. Üblicherweise wird das Halbleitermaterial zudem durch einen geeigneten Isolator, in diesem Fall Siliziumnitrid (Si3N4), passiviert. Zur Erzeugung des Gates muss daher zusätzlich eine Öffnung in die Si3N4-Passivierung geätzt werden, die als Gate-Trench bezeichnet wird.

In bisherigen Arbeiten wurden Gate-Trench sowie Gate-Recess in einem Ätzschritt erzeugt, wodurch deren Breite identisch ist. In dem vom FBH entwickelten Verfahren ragt jedoch der Trench in den Recess hinein, wobei die Kanten der Si3N4-Passivierung leicht abgeschrägt geätzt wurden. Dies stellt große Anforderungen an die Prozesstechnologie in Bezug auf die Justage der einzelnen Ebenen zueinander. Dies ist überhaupt erst durch die Verwendung der Projektionslithographie möglich. Die Optimierung der Gate-Topologie hat zur Folge, dass hohe Feldstärken an der Gate-Kante signifikant reduziert werden können. Dies wiederum führt zu höheren Durchbruchspannungen des Transistors. Bild 2 zeigt eine schematische Darstellung des Schichtaufbaus der β-Ga2O3-Transistoren sowie eine Transmissionselektronen-Mikroskopaufnahme der Gate-Topologie.

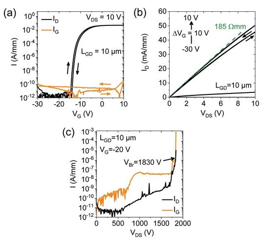
Die vom FBH gefertigten Transistoren zeigen exzellentes Sperr- und Leitungsverhalten mit Ein/Aus-Stromverhältnissen bis zu neun Größenordnungen. Abhängig vom Gate-zu-Drain-Abstand wurden Ströme im Durchlassbetrieb zwischen 49 und 120 mA/mm gemessen sowie Durchlasswiderstände mit Werten von 70 bis 185 Ωmm. Des Weiteren konnte eine Durchbruchspannung von 1, 8 kV erzielt werden. Dies entspricht einer Durchbruchfeldstärke von knapp 2 MV/cm. Dieser Wert liegt derzeit zwar noch weit unter dem theoretischen Limit von 8 MV/cm für β-Ga2O3. Jedoch übertrifft er bereits jetzt Ergebnisse, die auf den etablierteren Wide-Bandgap-Leistungshalbleitern GaN oder SiC basieren und die üblicherweise unterhalb von 1,5 MV/cm liegen. Entsprechende Transfer- und Ausgangskennlinienfelder für einen Transistor mit einem Gate-zu-Drain-Abstand von 10 µm sowie die Durchbruchsmessung sind in Bild 3 dargestellt.

Bild 4 zeigt einen Leistungsvergleich der Resultate mit bisherigen Ergebnissen basierend auf β-Ga2O3-Transistoren. Die Grafik verdeutlicht die wesentlich verbesserten Leistungseigenschaften der Transistoren mit reduzierten Leitungsverlusten. Die Durchbruchspannungen konnten dank der optimierten Gate-Topologie erhöht werden, während sich die Durchlasswiderstände aufgrund der hochqualitativen und defektarmen β-Ga2O3-Schichten und der hohen Strukturauflösung der Bauteile gering halten ließen.
Betrachtet man SiC- oder GaN-basierte Bauelemente als die Leistungsschalttransistoren der nächsten Generation, liefern die demonstrierten Ergebnisse eine wichtige Grundlage für neue effizientere und kompaktere Leistungsschalter der übernächsten Generation. Die bereits erzielten Leistungsparameter für β-Ga2O3 sprechen dafür. Durch fortwährende Verbesserungen der Materialqualität sowie Optimierungen der Bauelemente im Hinblick auf Layout und Passivierung ist zu erwarten, dass sich die Leistungsparameter noch weiter in Richtung des theoretischen Limits verschieben lassen.
Eine vollständige und ausführliche Beschreibung der Untersuchungen sowie alle experimentellen Details und Analyseergebnisse wurden in der Fachzeitschrift IEEE Electron Device Letters veröffentlicht (doi: 10.1109/LED.2019.2930189).
* Kornelius Tetzner ist Wissenschaftler im Forschungsbereich III-V-Leistungselektronik am Ferdinand-Braun-Institut (FBH), Berlin.
* Oliver Hilt ist Wissenschaftler im Forschungsbereich III-V-Leistungselektronik am Ferdinand-Braun-Institut (FBH), Berlin.
Artikelfiles und Artikellinks
(ID:46174835)